Simak contoh soal matematika kelas 6 tentang operasi hitung campuran Nah setelah mengetahui beberapa di antaranya detikers juga harus tahu contoh-contoh soal matematika kelas 6.. Contoh soal operasi hitung campuran kelas 6 sd kumpulan soal pelajaran 8. soal matematika kelas 6 sd operasi hitung campuran soalkunci my id. menyelesaikan soal operasi hitung campuran bilangan bulat kelas 6 sd soal latihan Lihat juga contoh soal: kelas, dan contoh soal matematika kelas 6 tentang operasi hitung campuran 60 detik 1 menit 3.
Contoh Soal Regresi Linear Sederhana - Contoh Soal Dan Materi Pelajaran 7. Aturan operasi hitung bilangan bulat.

Contoh Soal Operasi Hitung Campuran Kelas 6 Sd Kumpulan Soal Pelajaran 8
Jika ingin mengerjakan soal pilihan gandanya secara online dengan langsung ternilai secara online silahkan dicoba.

Dan berikut ini adalah beberapa Soal Cerita Matematika Kelas 2 SD dan bisa untuk membuat anak-anak itu lebih memahami soal-soal yang akan dipelajari disekolah mereka. Silahkan baca juga Contoh soal dan pembahasan volume limas. Posting pada Fisika IPA SMP Ditag rumus energi listrik 10 bentuk bentuk energi 3 bentuk energi akumulator merupakan sumber energi apa akibat dari pemakaian sumber energi fosil apa bahan-bahan pembuatan energi biomassa apa yang dimaksud energi kinetik apakah suara radio merupakan bentuk energi artikel usaha dan energi bagaimanakah hukum kekekalan energi bahan. Ilustrasi Soal 12 Diketahui Hitung Nilai Koefisien Korelasi. Contoh soal matematika yakni sebuah kumpulan soal-soal yang gunanya agar melatih anak anak itu sesuai dengan usia mereka. Sahabat kali ini kita akan membahas tentang rata-rata nilai tengah dan nilai paling sering muncul atau istilah-istilah itu disebut dengan ukuran pemusataan data.

Tutorial Menyelesaikan Dan Melakukan Operasi Hitung Campuran Bilangan Bulat

Tolong Bantu Jawab Soal Mtk Kelas 6 Sd Operasi Hitung Campuran Dengan Cara Hasilnya Bilangan Brainly Co Id

Contoh Soal Operasi Hitung Campuran Kelas 6 Sd Kumpulan Soal Pelajaran 8

Ayo Kerjakan Soal Soal Operasi Hitung Campuran Berikut No 11 Sampai 20 Aj Kok Brainly Co Id

Contoh Soal Operasi Hitung Campuran Kelas 6 Sd Kumpulan Soal Pelajaran 8
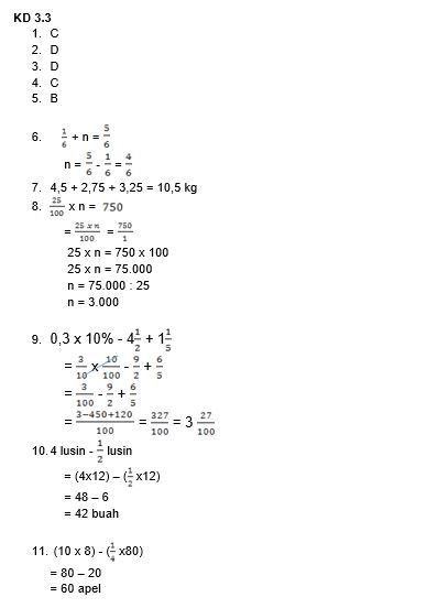
Soal Matematika Kelas 6 Kd 3 3 Operasi Hitung Pecahan Kunci Jawaban Sekolahdasar

Menyelesaikan Soal Operasi Hitung Campuran Bilangan Bulat Kelas 6 Sd Soal Latihan

Soal Matematika Kelas 6 Kd 3 3 Operasi Hitung Pecahan Kunci Jawaban Sekolahdasar

Contoh Soal Matematika Operasi Hitung Campuran Mata Pelajaran
Soal Matematika Kelas 6 Sd Operasi Hitung Campuran Soalkunci My Id

Contoh Soal Operasi Hitung Campuran Kelas 6 Sd Kumpulan Soal Pelajaran 8
Contoh soal himpunan dan penyelesaiannya beserta jawabannya by fitra rumus posted on july 12 2019 rumuscoid pada kesempatan kali ini kita akan membahas mengenai contoh soal tentang himpunan dan pada kesempatan sebelumnya kita juga telah membahas tentang contoh soal aljabar nah untuk saat ini materi lengkap tentang contoh soal mengenai. Upaya Meningkatkan Hasil Belajar Matematika Operasi Hitung Bilangan Pecahan Melalui Pemanfaatan Alat Peraga Bagi Siswa Kelas V Semester 2 SDN 3 Klaten Tahun 2020. Contoh soal hots matematika sd kelas 6 2019.
Itulah Postingan tentang Contoh Soal Matematika Kelas 6 Tentang Operasi Hitung Campuran, Tutorial menyelesaikan dan melakukan operasi hitung campuran bilangan bulat soal matematika kelas 6 kd 3 3 operasi hitung pecahan kunci jawaban sekolahdasar ayo kerjakan soal soal operasi hitung campuran berikut no 11 sampai 20 aj kok brainly co id contoh soal matematika operasi hitung campuran mata pelajaran soal matematika kelas 6 kd 3 3 operasi hitung pecahan kunci jawaban sekolahdasar tolong bantu jawab soal mtk kelas 6 sd operasi hitung campuran dengan cara hasilnya bilangan brainly co id, semoga membantu.
0 Komentar